PCR Troubleshooting and Optimization Figure
|
Edited by: Suzanne Kennedy and Nick Oswald Published: 2011 ISBN: 978-1-904455-72-1 An essential book for all scientists using PCR, real-time PCR, qPCR and related techniques. read more ... |
Figure from: PCR Troubleshooting and Optimization
Full details of this book at PCR Troubleshooting and Optimization. More figures at PCR Figures.
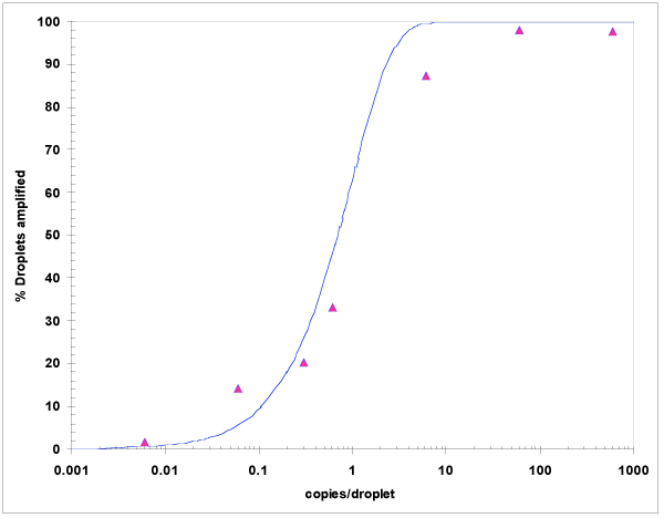
Chapter 11. Figure 5. Observed percent amplification verses theory. (n approx. 16,000 droplets per data point).
Further reading at PCR Troubleshooting and Optimization. More figures at PCR Figures.



